Assessment of carbon balance components in agroecosystems with traditional and zero chernozem treatments
- Authors: Ivashchenko K.V.1, Sushko S.V.1, Dobrokhotov A.V.1,2, Zakharova E.A.3, Khoroshaev D.A.1, Trots N.M.4, Orlova L.V.5
-
Affiliations:
- Institute of Physico-Chemical and Biological Problems of Soil Science of the Russian Academy of Sciences
- Agrophysical Research Institute
- SamSMU
- Samara State Agrarian University
- Orlovka – AIC
- Issue: Vol 10, No 4 (2025)
- Pages: 3-10
- Section: AGRICULTURE
- URL: https://bulletin.ssaa.ru/1997-3225/article/view/689844
- DOI: https://doi.org/10.55170/1997-3225-2025-10-4-3-10
- ID: 689844
Cite item
Full Text
Abstract
The purpose of the study is a comparative assessment of the carbon (C) balance under zero and traditional chernozem treatments in the agro-ecosystems of the forest-steppe and steppe zones of the European territory of Russia (Samara Region and Krasnodar Territory). The balance from agricultural prices was assessed using the NEP indicator – pure ecosystem products, taking into account pure primary products and soil CO2 emissions. As a result of the study, experimental NEP data for the growing season (May-October 2024) and forecast estimates using the DNDC model for the period 2023-2100 under various climate change scenarios were obtained. On the territory of agricultural farms in the studied regions, 2 production fields with zero and traditional soil treatments were selected. In each agrocenosis, measurements of soil CO2 emissions were carried out at 10 spatially remote points using the closed chamber method during the growing season. Before harvesting, the above-ground and root biomass of agricultural crops was selected at the study points. Experimental data have shown that the NEP values when using zero treatment either tend to zero (Samara Region) or indicate a 3.4-fold increase in C runoff in the agroecosystem (Krasnodar Territory) compared with the traditional approach. Based on the forecast estimates, it was revealed that the balance of C is largely determined by the type of crop being cultivated. Regardless of the type of tillage, the agrocenosis of the subsurface will be a source of CO2, not a sink of C. The most favorable conditions for increasing the flow of C (by 11-25%) are in the agroecological systems of the Samara region. They are expected when cultivating spring wheat and soybeans in combination with zero tillage due to a decrease (by 4-7%) in soil microbial respiration compared to plowing. In the agro-cenoses of the Krasnodar Territory, cucumbers cultivation together with zero treatment is most effective for increasing C runoff as a result of an increase in net primary production (by 28-31%) and a decrease in soil microbial respiration (by 15-17%).
Full Text
Оценка баланса углерода (С) в агроценозах важна для понимания потенциала его секвестрации. Баланс С определяют через показатель NEP (net ecosystem exchange, чистая экосистемная продукция), который отражает количество валовой первичной продукции (GPP) за вычетом экосистемного дыхания (Re) [1]. Отрицательные значения NEP указывают на то, что экосистема является источником СО2 в атмосферу, а положительные – стоком С. Величина NEP во многом зависит от подходов к обработке земель [2]. При нулевой обработке почвы (прямой посев) отмечают снижение эмиссии СО2 и увеличение поступления С с растительными остатками по сравнению с традиционным подходом [3]. В результате, прямой посев способствует накоплению органического С в верхнем гумусово-аккумулятивном горизонте почвы по сравнению со вспашкой [4-7]. Анализ глобальной базы данных показал, что переход от традиционной обработки почвы к нулевой может обеспечить секвестрацию С в среднем со скоростью 0.57 т С / га в год [8]. Однако ее скорость и изменение составляющих углеродного баланса в агроценозах с нулевой обработкой почвы может значительно различаться в зависимости от севооборота, климатических характеристик, системы внесения удобрений и др. В связи с этим разработка мер по сокращению выбросов СО2 за счет внедрения и применения ресурсосберегающих технологий в агроэкосистемах, должна быть основана на анализе результатов углеродного баланса для широкого ряда агроландшафтных условий.
Цель исследований: провести сравнительную оценку баланса С в условиях нулевой и традиционной обработок чернозема в агроценозах лесостепной (Самарская обл.) и степной зон (Краснодарский край) Европейской территории России.
Задачи исследований: анализ составляющих баланса С в изученных агроценозах: продуктивность сельскохозяйственных культур и динамика почвенной эмиссии СО2.
Материалы и методы исследований. На территории агрохозяйств в Самарской обл., (Похвистневский р-н) и Краснодарском крае (Крымский р-н) было выбрано по 2 производственных поля с нулевой и традиционной обработками почвы, расположенных в непосредственной близости друг к другу (табл. 1). Почвы агроценозов Самарской обл. сформированы в автоморфном ландшафте (186-194 м н.у.м) и характеризуются периодически промывным водным режимом. Почвы агроценозов Краснодарского края расположены значительно ниже по рельефу (11-12 м н.у.м) и имеют паводковый водный режим, являясь территорией бывших плавней (осушена в конце 1960-х гг.). Изученные почвы диагностировали как агрочерноземы тяжелосуглинистые. Содержание органического С в 0-10 см слое почвы с традиционной и нулевой обработками составило в среднем 4,2 и 4,5% в Самарской обл. соответственно [7], 1,9 и 1,7% в Краснодарском крае. Основные физические и химические свойства верхнего 0-10 см слоя исследуемых агрочерноземов представлены в таблице 2.
Таблица 1
Характеристика исследуемых полей с традиционной и нулевой обработками почвы и возделываемые культуры (2022–2024)
Регион | Обработка | ГК**, с.ш. / в.д. | Площадь, га | Возделываемая культура | ||
2022 г. | 2023 г. | 2024 г. | ||||
Самарская обл. | Вспашка | 53.80° / 51.90° | 42 | яровая пшеница | подсолнечник | чистый пар |
Нулевая с 2018 г. | 53.81° / 51.90° | 88 | яровая пшеница | соя | яровая пшеница | |
Краснодарский край | Вспашка | 45.02° / 37.92° | 45 | озимая пшеница | озимая пшеница | озимая пшеница |
Нулевая с 2016 г. | 45.02° / 37.93° | 74 | озимая пшеница | кукуруза | озимая пшеница | |
*до 20-25 см; **географические координаты
Таблица 2
Плотность сложения (ПЛ) и химические свойства исследуемых агрочерноземов (0-10 см слой) с традиционной и нулевой (НЛ) обработками. Значения представлены как среднее арифметическое ± стандартная ошибка среднего для n = 30
Регион | Обработка | ПЛ, г см-3 | рНводн | Сорг, % | Сорг/N | K2O, мг кг-1 | P2O5, мг кг-1 |
Самарская обл. | Вспашка | 1,00 ± 0,02 | 7,2 ± 0,1 | 4,2 ± 0,1 | 12,0 ± 0,1 | 223 ± 12 | 61 ± 10 |
НЛ с 2018 г. | 1,06 ± 0,02 | 6,9 ± 0,1 | 4,5 ± 0,2 | 12,3 ± 0,1 | 218 ± 18 | 95 ± 9 | |
Краснодарский край | Вспашка | 1,28 ± 0,02 | 7,1 ± 0,1 | 1,9 ± 0,0 | 12,1 ± 0,1 | 309 ± 18 | 7 ± 1 |
НЛ с 2016 г. | 1,35 ± 0,01 | 7,1 ± 0,1 | 1,7 ± 0,0 | 12,3 ± 0,2 | 266 ± 37 | 5 ± 1 |
Примечание: Сорг рассчитан по разнице содержания общего С (метод сухого сжигания) и С карбонатов (манометрический метод); K2O и P2O5 определены по ГОСТ 26204-91 для Самарской обл. и ГОСТ 26205-91 для Краснодарского кр.
В Самарской области севооборот и стратегия управления элементами минерального питания за 2022-2024 гг. существенно различались между выбранными производственными полями. На поле с традиционной обработкой возделывались яровая пшеница и подсолнечник без применения минеральных удобрений и включением на 3-й год чистого пара (табл. 1). На поле с нулевой обработкой возделывались яровая пшеница и соя с внесением перед их посевом аммиачной селитры в дозах 100 и 60 кг/га (~N34 и N20) соответственно. В Краснодарском крае севооборот также различался между выбранными объектами, включая только озимую пшеницу для поля с традиционной обработкой и ее чередование с кукурузой для поля с нулевой обработкой. Применение удобрений для варианта с традиционной обработкой осуществлялось по следующей схеме: 100 кг/га диаммофоса (~N18P50) перед посевом озимой пшеницы, 200 кг/га аммиачной селитры (~N98) для подкормки ее весной и 100 кг/га сульфоаммофоса (~N20P20S14) под вспашку после уборки урожая. Перед посевом кукурузы для варианта с нулевой обработкой использовали 120 кг/га аммиачной селитры (~N40), перед посевом озимой пшеницы – 100 кг/га диаммофоса (~N18P50) без дополнительной подкормки весной. Указанная информация об условиях возделывания сельскохозяйственных культур была установлена в результате интервьюирования владельцев исследуемых производственных полей. В каждом агроценозе было выбрано по 10 пространственно-удаленных точек и установлены воротники-основания для измерения почвенной эмиссии СО2. Почвенную эмиссию измеряли в течение вегетационного периода 2024 г. (20.05-26.08 и 12.06-05.10 в Самарской области и Краснодарском крае соответственно) каждые две недели методом закрытых камер с помощью инфракрасного газоанализатора с непрерывной циркуляцией воздуха (AZ Instruments, Senseair K30, Швеция). За период измерений средняя температура воздуха составила 17°С и 24 °С для Самарской области и Краснодарского края, количество осадков – 236 мм и 202 мм соответственно (01.05–30.09.2024; метеостанции «Бугуруслан» и «Анапа»).
Перед уборкой урожая для каждого поля отбирали надземную биомассу культур (зерно, стебли / листья) с площадок 30×30 см в 10-ти точках исследования. В трех точках каждого поля учитывали также корневую биомассу в монолитах 15×15 см и мощностью 10-15 см. Содержание С в растительных остатках измеряли на анализаторе ECS 8024, NC Technologies, Италия (сжигание при t=1100°C).
На основе полученных данных рассчитывали NEP за изученный вегетационный период: NEP=GPP–Re, где GPP, валовая первичная продукция (суммарное содержание С в надземной и корневой биомассе растений, т С / га); Re, экосистемное дыхание или Ra+Rs, где Ra, дыхание надземной части растений. Ra рассчитано на основе литературных данных и составляет 40% от сухой надземной биомассы [9]; Rs, дыхание почвы (почвенная эмиссия СО2).
Проведен прогноз долгосрочной динамики (с 2023 по 2100 гг.) составляющих баланса углерода: чистая первичная продукция (NPP) и микробное дыхание почвы (Rh), разница между ними позволяет получить величину NEP. Прогноз учитывал два сценария изменения климата: SSP2-4.5 и SSP5-8.5, предполагающие увеличение глобальной температуры воздуха на 2.7°С и 4.4°С к 2100 г. соответственно. Выбранные сценарии считаются экспертами МГЭИК наиболее реалистичными исходя из современных тенденций социально-экономического развития [10]. Прогноз был осуществлен с помощью модели DNDC, включая измеренные данные почвенных свойств (гранулометрический состав, содержание C, рН, плотность). Условия возделывания культур (севооборот, сроки посева/уборки, сроки/дозы/способ внесения удобрений, доля оставшейся массы листьев/стеблей после уборки урожая, сроки/способ обработки почвы) инициализированы в модели на основе актуальных данных для изученных агроценозов. В модели был задан следующий севооборот: подсолнечник-соя-яровая пшеница в агрохозяйствах Самарской обл., кукуруза-подсолнечник-озимая пшеница – Краснодарского края. Входные метеорологические данные (суточные максимальные и минимальные температуры, осадки, относительная влажность, скорость ветра) за 2022–2024 гг. были получены с ближайших метеостанций, за 2025–2100 гг. – на основе модели общей циркуляции атмосферы EC-Earth3 [11].
Результаты исследования. Влияние нулевой обработки на продуктивность была оценена для агрохозяйства Краснодарского края, поскольку на двух сравниваемых полях в 2024 году возделывалась одна культура – озимая пшеница. Урожайность при использовании нулевой обработки была в среднем на 9% выше, чем при традиционной вспашке. При этом различия в общей биомассе (зерно + стебли/листья + корни) было еще больше: +41% при нулевой обработке (рис. 1А). В Самарской области на поле с нулевой обработкой возделывалась яровая пшеница, в то время как на поле со вспашкой был чистый пар. Низкая урожайность яровой пшеницы (в среднем 7 ц/га) в исследуемом году объяснялась неблагоприятными погодными условиями (поздние заморозки и обильные дожди в период созревания).
Рис. 1. Биомасса пшеницы (яровая/озимая для Самарской обл./Краснодарского кр.) (А), суммарная эмиссия СО2 из почвы за вегетационный период (20.05-26.08.2024/12.06-05.10.2024) (Б) и баланс углерода (NEP) за вегетационный период для агроценозов с нулевой и традиционной обработками (среднее ± ст. ошибка среднего, n = 10; *p ≤0,05, **0,01, ***0.001 для t-критерий Уэлча)
Суммарная эмиссия СО2 за вегетационный период для агрочерноземов Краснодарского края была в 1,3 раза ниже при нулевой обработке, чем при традиционной вспашке (рис. 1Б). Для Самарской области, напротив, этот показатель был в 1,1 раза ниже для парующего пахотного поля из-за отсутствия корневого дыхания в отличие от поля с нулевой обработкой. Однако при уравнивании условий для двух сравниваемых полей (вычет вклада корней; ~30% от эмиссии СО2), микробное дыхание почвы агрочерноземов со вспашкой было в 1,2 раза больше, чем при использовании нулевой обработки. Это объясняется усилением минерализации органического вещества почвы, вызванного нарушением сложения ее поверхностного горизонта и насыщением кислородом в условиях регулярной вспашки. Так для чистого пара Самарской области в течение исследуемого вегетационного периода было выполнено 5 культиваций/обработок для удаления сорняков.
Анализ баланса С в течение вегетационного периода показал, что при использовании нулевой обработки NEP либо стремится к нулю (Самарская область), либо указывает на увеличение стока С в 3,4 раза (Краснодарский край) по сравнению с традиционной обработкой (рис. 1В).
Согласно двум сценариям изменения климата SSP2-4.5 и SSP5-8.5 среднегодовая температура воздуха к 2100 г. увеличится на 2,9 и 6,4°С в Самарской области (с 4,9°С до 7,8°С и 11,3°С) и на 2,2 и 5,1°С в Краснодарском крае (с 13,1°С до 15,3°С и 18,2°С) соответственно. При этом количество осадков в Самарской области возрастет на 16 мм и 70 мм (с 549 мм до 565 мм и 618 мм), а в Краснодарском крае уменьшится на 38 мм и 76 мм (с 757 мм до 719 мм и 681 мм) соответственно. Несмотря на прогнозируемые различия, климат в Краснодарском крае будет по-прежнему более теплым и влажным, чем в Самарской обл.
Долгосрочный прогноз баланса С показал разные прогнозируемые тенденции для двух исследуемых регионов. Так в более засушливом климате Самарской области длительное применение нулевой обработки почвы в условиях заданного севооборота будет в целом способствовать увеличению продуктивности возделываемых культур в среднем на 3% и 4% (сценарии SSP2-4.5 и SSP5-8.5 соответственно) при одинаковых уровнях минерализации органического вещества относительно вспашки (табл. 3). Отсюда и показатель NEP будет увеличиваться в среднем на 12% при использовании данной агротехнологии. При этом в более влажном климате Краснодарского края ожидается снижение продуктивности возделываемых культур на 3% при аналогичной скорости эмиссии СО2 относительно вспашки. Поэтому в противоположность Самарской области, использование технологии нулевой обработки в Краснодарском крае будет снижать чистую экосистемную продукцию в среднем на 4% относительно традиционной вспашки.
Таблица 3
Прогноз количества чистой первичной продукции (NPP, т С/га в год), микробного дыхания (Rh, т С/га в год) и экосистемного баланса С (NEP, т С/га в год) при использовании традиционной и нулевой обработок агрочерноземов в Самарской области и Краснодарском крае в среднем за 2023-2100 гг. (78 лет)
Обработка | NPP | Rh | NEP | |||
SSP2-4.5 | SSP5-8.5 | SSP2-4.5 | SSP5-8.5 | SSP2-4.5 | SSP5-8.5 | |
Самарская область | ||||||
Вспашка | 3,77 | 4,32 | 2,88 | 3,27 | 0,88 | 1,05 |
Нулевая с 2018 | 3,88 | 4,49 | 2,88 | 3,29 | 1,00 | 1,19 |
Краснодарский край | ||||||
Вспашка | 5,26 | 5,45 | 4,32 | 4,45 | 0,92 | 0,99 |
Нулевая с 2016 | 5,12 | 5,29 | 4,23 | 4,33 | 0,88 | 0,96 |
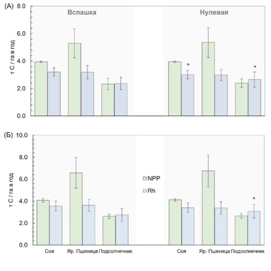
Как и предполагалось, распределение составляющих С баланса в агроценозах с традиционной и нулевой обработками определяется климатическими условиями, системой севооборота и видом сельскохозяйственной культуры. Так, в Самарской области прогнозируется, что агроценоз подсолнечника будет источником СО2, а не стоком С (рис. 2). В этом случае отрицательный баланс С связан с потерями С за счет низкой обеспеченности агроценозов чистой первичной продукцией и усилением процессов минерализации органического вещества почвы, что особенно характерно для нулевой обработки в условиях стремительного потепления климата (рис. 3А, Б). Возделывание сои и яровой пшеницы обеспечит положительный баланс С в изученных агроценозах. Важно отметить, что использование данных культур в севообороте способствует увеличению NEP на 11-25% в условиях нулевой обработки почвы относительно вспашки независимо от сценария изменения климата. Такая тенденция объясняется в основном снижением потерь С (на 4-7%) в процессе микробного дыхания почвы в агроценозе с нулевой обработкой (значимо для сои, сценарий SSP2-4.5) по сравнению с традиционной.
Рис. 2. Распределение прогнозных значений баланса С (NEP) при использовании традиционной и нулевой обработок агрочерноземов под разными сельскохозяйственными культурами в Самарской области за 2023-2100 гг. с учетом SSP2-4.5 и SSP5-8.5 сценариев изменения климата
Рис. 3 Среднее значение ± стандартное отклонение составляющих баланса углерода: чистая первичная продукция (NPP) и микробное дыхание (Rh) при использовании традиционной и нулевой обработок агрочерноземов под разными сельскохозяйственными культурами в Самарской области за 2023-2100 гг. с учетом SSP2-4.5 (А) и SSP5-8.5 (Б) сценариев изменения климата (n = 25, 26, 27 для сои, яровой пшеницы и подсолнечника соответственно; *p ≤0.05, t-критерий Уэлча, сравнение между традиционной и нулевой обработками для каждой культуры и показателя отдельно)
Также, как и в агроценозах Самарской области, возделывание подсолнечника в Краснодарском крае приведет к отрицательному балансу С для обоих типов обработок (рис. 4), поскольку потери С в результате минерализации органического вещества почвы будут превышать в 1,5-1,7 раз его поступление с растительной биомассой (рис. 5А, Б). В агроценозах с озимой пшеницей в условиях нулевой обработки ожидается отрицательный баланс С (NEP = -3,13 и -3,92 т С/га в год для SSP2-4.5 и SSP5-8.5 соответственно) по сравнению со вспашкой (1,11 и 0,99 т С/га в год). Это объясняется тем, что в отличие от нулевой обработки применение вспашки увеличит чистую первичную продуктивность озимой пшеницы на фоне небольших потерь С в процессе микробного дыхания. При этом возделывание кукурузы в условиях нулевой обработки приведет к значительному увеличению показателя NEP на 52 и 53% с учетом умеренного и агрессивного сценариев изменения климата соответственно. В данном случае применение нулевой обработки значимо повысит продуктивность агроценоза (на 28-31%) и снизит микробное дыхание почвы (на 15-17%) относительно вспашки.
Рис. 4. Распределение прогнозных значений баланса С (NEP) при использовании традиционной и нулевой обработок агрочерноземов под разными сельскохозяйственными культурами в Краснодарском крае за 2023-2100 гг. с учетом SSP2-4.5 и SSP5-8.5 сценариев изменения климата
Рис. 5. Среднее значение ± стандартное отклонение составляющих баланса углерода: чистая первичная продукция (NPP) и микробное дыхание (Rh) при использовании традиционной и нулевой обработок агрочерноземов под разными сельскохозяйственными культурами в Краснодарском крае за 2023-2100 гг. с учетом SSP2-4.5 (А) и SSP5-8.5 (Б) сценариев изменения климата (n = 25, 26, 27 для сои, яровой пшеницы и подсолнечника соответственно; **p ≤0.05, **0.01, ***0.001, t-критерий Уэлча, сравнение между традиционной и нулевой обработками для каждой культуры и показателя отдельно)
Полученные тенденции в целом соответствуют выводам глобального мета-анализа [12], показавшего разное влияние нулевой обработки почвы на продуктивность возделываемых культур в зависимости от климата и выбора самих культур. Так применение нулевой технологии в засушливом климате способствует увеличению урожайности пшеницы, кукурузы, бобовых и масличных культур в среднем на ~3-10% относительно вспашки из-за повышения почвенных влагозапасов и эффективности их использования. В то время как во влажном климате, напротив, отмечается снижение их урожайности из-за ухудшения роста корневой системы, обусловленной уплотнением и снижением аэрированности почвы в условиях нулевой обработки.
Заключение. Экспериментальные данные составляющих баланса С в агроценозах лесостепной и степной зон за вегетационный период указывают на определенную эффективность нулевой обработки в его секвестрации, что обусловлено, с одной стороны, повышением продуктивности культур, с другой – снижением почвенной эмиссии СО2. Смоделированные данные показали, что в долгосрочной перспективе (до 2100 г.), учитывая умеренный и агрессивный сценарии изменения климата, в условиях заданного севооборота (подсолнечник-соя-яровая пшеница) и применения нулевой обработки ожидается увеличение продуктивности возделываемых культур при одинаковых уровнях минерализации органического вещества почвы относительно вспашки в Самарской области. В агроценозах Краснодарского края при заданном севообороте (кукуруза-подсолнечник-озимая пшеница) прогнозируется снижение продуктивности возделываемых культур при аналогичной скорости эмиссии СО2 относительно вспашки. При этом важно учитывать, что баланс С в долгосрочной перспективе зависит от вида возделываемой культуры. Агроценоз подсолнечника будет источником СО2, а не стоком С для обоих изученных регионов независимо от способа обработки агрочерноземов. Эффективность нулевой обработки также зависит от вида сельскохозяйственной культуры. В Самарской области ее применение совместно с возделыванием яровой пшеницы и сои приведет к увеличению стока С в агроэкосистеме за счет снижения микробного дыхания почвы относительно вспашки. В Краснодарском крае возделывание кукурузы по сравнению с озимой пшеницей наиболее эффективно в сочетании с нулевой обработкой, в таких условиях будет отмечаться рост чистой первичной продукции и снижение почвенного микробного дыхания, что указывает на высокий потенциал такого агроценоза к секвестрации С.
About the authors
Kristina V. Ivashchenko
Institute of Physico-Chemical and Biological Problems of Soil Science of the Russian Academy of Sciences
Author for correspondence.
Email: ivashchenko.kv@gmail.com
ORCID iD: 0000-0001-8397-158X
Candidate of Biological Sciences
Russian Federation, PushchinoSofya V. Sushko
Institute of Physico-Chemical and Biological Problems of Soil Science of the Russian Academy of Sciences
Email: rogovaja7@mail.ru
ORCID iD: 0000-0003-0664-7641
Candidate of Biological Sciences, Researcher
Russian Federation, PushchinoAlexey V. Dobrokhotov
Institute of Physico-Chemical and Biological Problems of Soil Science of the Russian Academy of Sciences; Agrophysical Research Institute
Email: dobralexey@gmail.com
ORCID iD: 0000-0002-9368-6229
Candidate of Biological Sciences, Researcher
Russian Federation, Pushchino; Saint PetersburgElena A. Zakharova
SamSMU
Email: orineon@gmail.com
ORCID iD: 0000-0002-7287-5960
Junior Researcher; Scientific and Educational Professional Center of Genetic and Laboratory Technologies
Russian Federation, SamaraDmitry A. Khoroshaev
Institute of Physico-Chemical and Biological Problems of Soil Science of the Russian Academy of Sciences
Email: d.khoroshaev@gmail.com
ORCID iD: 0000-0001-8044-7635
Candidate of Biological Dciences, Researcher
Russian Federation, PushchinoNatalia M. Trots
Samara State Agrarian University
Email: troz_shi@mail.ru
ORCID iD: 0000-0003-3774-1235
Doctor Of Agricultural Sciences, Professor, Leading Researcher
Russian Federation, Ust-Kinelsky, Samara RegionLyudmila V. Orlova
Orlovka – AIC
Email: orlova.rmrl@gmail.com
ORCID iD: 0000-0002-6941-8523
Candidate of Economic Sciences
Russian Federation, Samara region, Stary Amanak villageReferences
- Chapin F. S., Woodwell G. M., Randerson J. T., Rastetter E. B., Lovett G. M., Baldocchi D. D., Clark D. A., Harmon M. E.; Schimel D. S.; Valentini R. et al. Reconciling carbon-cycle concepts, terminology, and methods // Ecosystems 2006. V. 9. P. 1041–1050. doi: 10.1007/s10021-005-0105-7 EDN: LVAPYX7.
- Zhang S., Chen W., Wang Y., Li Q., Shi H., Li M., Sun Z., Zhu B., Seyoum G. Human interventions have enhanced the net ecosystem productivity of farmland in China // Nat Commun. 2024. V. 15. P. 10523. doi: 10.1038/s41467-024-54907-6 EDN: VZETRP.
- Bono A., Alvarez R., Buschiazzo D. E., Cantet R. J. C. Tillage effects on soil carbon balance in a semiarid agroecosystem // Soil Science Soc of Amer J. 2008. V. 72. P. 1140–1149. doi: 10.2136/sssaj2007.0250.
- Johnson J., Reicosky D., Allmaras R., Sauer T., Venterea R., Dell C. Greenhouse gas contributions and mitigation potential of agriculture in the central USA // Soil and Tillage Research. 2005. V. 83. P. 73–94. doi: 10.1016/j.still.2005.02.010.
- Lu F., Wang X., Han B. Ouyang Z., Duan, X., Zheng H., Miao H. Soil carbon sequestrations by nitrogen fertilizer application, straw return and no‐tillage in China’s cropland // Global Change Biology. 2009. V. 15. P. 281–305. doi: 10.1111/j.1365-2486.2008.01743.x
- Powlson D. S., Bhogal A., Chambers B. J., Coleman K. Macdonald A. J. Goulding K. W. T., Whitmore A. P. The potential to increase soil carbon stocks through reduced tillage or organic material additions in England and Wales: A case study // Agriculture, Ecosystems & Environment. 2012. V. 146. P. 23–33. doi: 10.1016/j.agee.2011.10.004 EDN: PHUWPF
- Ivashchenko, K. V., Sushko, S. V., Dvornikov, Yu. A., Mirny, L. A., Orlova, L. V., Ananyeva, N. D., Neprimerova, S. V., Yudina, A. V. Trots, N. M. Soil organic carbon stocks under no-tillage in the middle Volga region // Agrohimia. 2023. V. 12. P. 47–56. doi: 10.31857/S0002188123110066 EDN: VGFOLD. (in Russian)
- West T. O., Post W. M. Soil organic carbon sequestration rates by tillage and crop rotation: A global data analysis // Soil Science Soc of Amer J. 2002. V. 66. P. 1930-1946. doi: 10.2136/sssaj2002.1930.
- Gifford R. M. Plant respiration in productivity models: conceptualisation, representation and issues for global terrestrial carbon-cycle research // Functional Plant Biol. 2003. V. 30. P. 171. doi: 10.1071/FP02083.
- IPCC. Climate Change 2021: The physical science basis. Contribution of working group I to the sixth assessment report of the Intergovernmental Panel on Climate Change. Cambridge University Press: Cambridge, United Kingdom and New York, NY, USA, 2021. 3949 p.
- Döscher R., Acosta M., Alessandri A., Anthoni P., Arsouze T., Bergman T., Bernardello R., Boussetta S., Caron L.-P., Carver, G. et al. The EC-Earth3 Earth system model for the coupled model intercomparison project 6 // Geosci. Model Dev. 2022. V. 15. P. 2973–3020. doi: 10.5194/gmd-15-2973-2022 EDN: BIPXJU.
- Pittelkow C. M., Linquist B. A.; Lundy M. E., Liang X., Van Groenigen K. J., Lee J., Van Gestel N. Six J., Venterea R. T., Van Kessel C. When does no-till yield more? A global meta-analysis // Field Crops Research. 2015. V. 183. P. 156–168. doi: 10.1016/j.fcr.2015.07.020 EDN: XYPKTX
Supplementary files








